直管式密度计

产品名称:直管式密度计
产品型号: AMS
所属分类: 分析仪表
产品简介
原理介绍:
单直管采用弹簧质量原理测量液体密度,单直 管密度传感器通过独特的设计使它拥有更为先进的测量方式,使得干扰因素大大降低,尤其是再测量含有不容物质(例如:固体颗粒)和 气泡的条件下,拥有着所有传感器中独特的性 能,其通畅性没有压阻使得气泡和固体颗粒对 它的干扰非常的低,性能更优益。在自控控制 方面具有更佳的效果
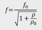
其中:密度计震动频率与振动管有如下关系:

f 为通过密度为ρ的介质时的震动频率 f0为在一个大气压下空气的振动频率 ρ 为被测液体密度 ρ0为仪表常数
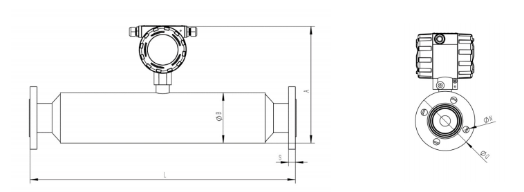
尺寸图:


产品特点:

安装方式:

1.旁路安装 密度计以旁通形式安装,可以在不影响主管路的情况下将其 拆除以便维修或标定。 支管线上安装能垂直安装,液体流向自下而上 支管线入口处有截止阀或球阀,以便控制流经液体的流速在 1m/s 密度计前后分别留有200mm和100mm直管段,后有一定 的背压,不可直接敞口排放。 综合多年经验与现场使用,推荐首选安装方案为旁路安装

2.水平或竖直向上管道中安装 测量管道中出现气泡积聚现象时会增大测量误差,避免在管道中的下来位置安装: 管道的高点直接安装在向下排空管道的上方

3.竖直向下管道中安装 在竖直向下管道中安装时,建议安装节流孔或者缩径管,防止在测量过程中出 现空管或者不满管测量。


4.罐体溢流安装 传感器前段尽量安装 阀门,方便日常维护 罐体底部引出尽量有 一定高度,由于不同工况情况不一样,具体尺寸请 联系厂家。
规格参数

联系QQ:
联系邮箱:xasfh@163.com
电话:15339022105
联系地址:西安市莲湖区西仪坊41号